有機膦系列
雙1,6-亞己基三胺五甲叉膦酸?BHMTPMPA
CAS NO.34690-00-1
Bis(Hexamethylene Triamine Penta (Methylene Phosphonic Acid))
【CAS】 34690-00-1
別名:二己烯三胺五亞甲基膦酸 、二亞己烯三胺五亞甲基膦酸 Dequet 2090
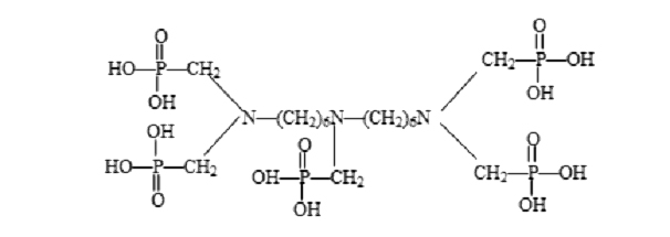
分子式:C17H44O15N3P5 相對分子質量:685
結構式:
一、產品性能
BHMTPMPA是高效的螯合型阻垢劑,對碳酸鹽垢和硫酸鹽垢具有良好的阻垢效果。BHMTPMPA在較寬的pH值范圍和120℃高溫下有極佳的水溶性和熱穩(wěn)定性,對鈣離子容忍度高。
二、技術指標
|
項 目 |
指 標(GB/T 22591-2008) |
|
外 觀 |
琥珀色液體 |
|
活性組分,% |
45.0~50.0 |
|
亞磷酸(以PO33-計),% ≤ |
3.5 |
|
pH值(1%水溶液) ≤ |
2.0 |
|
密度(20℃),g/cm3 ≥ |
1.20 |
|
氯化物(以Cl-計),% ≤ |
6.0 |
|
鐵(以Fe2+計)含量,ppm ≤ |
35.0 |
三、應用范圍與適用方法
BHMTPMPA 用作油田水處理的緩蝕阻垢劑,工業(yè)循環(huán)冷卻水和鍋爐水的阻垢緩蝕劑。可單獨使用或與聚羧酸類阻垢分散劑復配使用。
四、包裝與儲存
BHMTPMPA 采用塑料桶包裝,每桶25Kg或根據用戶需要確定。BHMTPMPA 貯存于室內陰涼處,貯存期為十二個月。
五、安全防護
BHMTPMPA 為酸性,應避免與眼睛、皮膚接觸,接觸后應立即用大量清水沖洗至少十五分鐘。
錄入時間:2016/11/17 15:39:28 點擊次數:8413
