有機膦系列
羥乙基乙二胺三甲叉膦酸HEDTMP
CAS No. 186614-90-4
[N-(2-hydroxyethyl) ethlenediamine-1,1,2-tri (methylene phosphonic acid)
別名:羥乙基乙二胺三亞甲基膦酸
CAS No. 186614-90-4
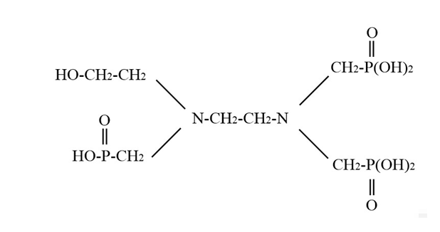
分子式C7H21O10N2P3 相對分子質量:386
結構式
一、性能與用途
羥乙基乙二胺三甲叉膦酸(HEDTMP)是一種多用途阻垢劑、強力螯合劑和優良的碳酸鈣、硫酸鋇阻垢劑。產品易溶于水,無毒,對鈣和鐵有優異的耐受性,且產品耐高溫。在油田領域通常作為阻垢緩蝕劑,阻止在生產管道、完井系統和加工設施出現結垢、沉淀和粘附。
二、技術指標
|
項 目 |
指 標 |
|
|
外 觀 |
淡黃色透明液體 |
|
|
活性組分% |
≥ |
35.0 |
|
氯化物(以Cl-計) % |
≤ |
6.0 |
|
鐵(以Fe2+計)含量mg/L |
≤ |
20 |
|
密度(20℃)g/cm3 |
≥ |
1.25 |
|
pH值(10g/L水溶液) |
≤ |
2.0 |
三、使用方法
HEDTMP常與其它有機膦酸、聚羧酸或鹽等復配成有機水處理劑,用于各種不同水質條件下的循環冷卻水系統。用量以1~20mg/L為佳;作緩蝕劑使用時,用量為20~60mg/L。
四、包裝與貯存
HEDTMP液體用塑料桶包裝,每桶25kg或250kg,也可根據用戶需要確定。貯于室內陰涼通風處,防潮、嚴防曝曬,貯存期十二個月。
五、安全防護
HEDTMP為酸性,操作時注意勞動保護,應避免與皮膚、眼睛等接觸,接觸后應立即用大量清水沖洗。
錄入時間:2025/1/3 9:29:14 點擊次數:755
