Organic Phosphate Salts
Tetra sodium salt of Amino Trimethylene Phosphonic Acid (ATMP•Na4)
CAS No. 20592-85-2
|
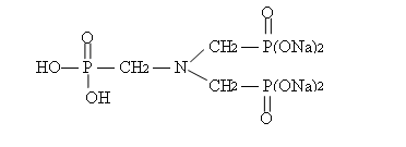
CAS No. 20592-85-2 Molecular Formula: C3H8NO9P3Na4 Molecular weight: 387 Structural Formula:
| ||||||||||||||
|
Properties:
Usage: |
Update: 2015/2/28 8:24:09 Views:3016
Related products
- Potassium salt of 1-Hydroxy Ethylidene-1,1-Diphosphonic Acid (HEDP?Kx)
- Tetra sodium salt of Amino Trimethylene Phosphonic Acid (ATMP•Na4)
- Penta sodium salt of Amino Trimethylene Phosphonic Acid (ATMP•Na5)
- Potassium Salt of Hexa Methylene Diamine Tetra (MethylenePhosphonic Acid)
- Hepta sodium salt of Diethylene Triamine Penta (Methylene Phosphonic Acid)
- Diethylene Triamine Penta(Methylene Phosphonic Acid) Pentasodium salt(DTPMP•Na5)

